Encore, toujours, et à jamais, il est temps de célébrer le génie de l’humanité. À cette fin, vous retrouverez à nouveaux quelques sujets de mathématiques ayant piqué mon intérêt, en espérant vous éclairer et apporter un brin de rationalité.
Mais au-delà des clichés et du conformisme, il faut parfois essayer de regarder plus loin. À tous ceux qui prennent peur dès que l’on parle de maths : les raisonnements et les chiffres ne sont pas des bêtes féroces à éviter ; le langage par lequel le monde essaie de nous communiquer ne dois pas rester ignoré.
Solides Platoniciens
Pour commencer, à tous les amateurs de belles géométries et de Grèce Antique, vous avez surement déjà entendu parler des solides de Platon. Sinon laissez-moi vous les présenter :
Un polyèdre est un objet mathématique représentant un volume en trois dimensions composées de faces polygonales planes. Un polyèdre est dit “de Platon” à condition qu’il soit à la fois convexe et régulier. Convexe signifie que pour n’importe quelle paire de points se trouvant dans l’objet, le segment reliant ces deux points est aussi contenu dans le volume délimité par l’objet. Régulier signifie que toute ses faces sont les même polygones (de forme et de taille identiques).

Solide de Kepler-Poinsot, polyèdre régulier mais non convexe, image issue du travail de Tintazul
Les solides de Platon et leur construction figurent parmi les grands accomplissements de la géométrie euclidienne dans l’espace, et même parmi les grands accomplissements des mathématiques de l’Antiquité. Euclide a d’ailleurs même réservé son 13ème livre des “Eléments d’Euclide” à leur construction et à la démonstration qu’ils sont au nombre de cinq.
On va alors essayer de les construire en suivant la méthode Euclidienne, et du fait de leur construction il devrait être assez clair qu’il ne peut en exister que cinq :
Concentrons-nous sur l’un des sommets des polyèdre : afin de garantir la convexité, il faut que la somme des angles que chacune des faces polygonales forme avec le sommet que l’on observe soit strictement inférieure à 360° (2π pour les intimes).
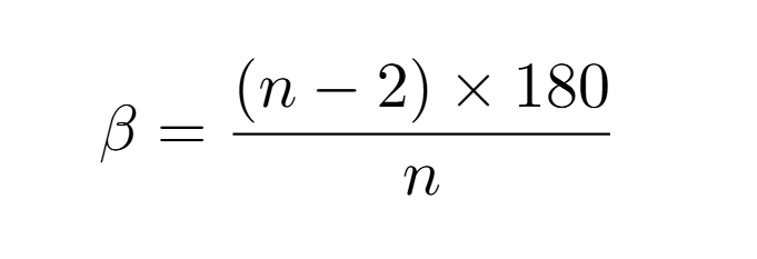
Il nous suffit de regarder cas par cas tous les polygones susceptibles de respecter cette condition ainsi que leur nombre en chaque sommet, en utilisant la petite formule sur les angle interne β d’un polygone selon son nombre d’arrêtes n :

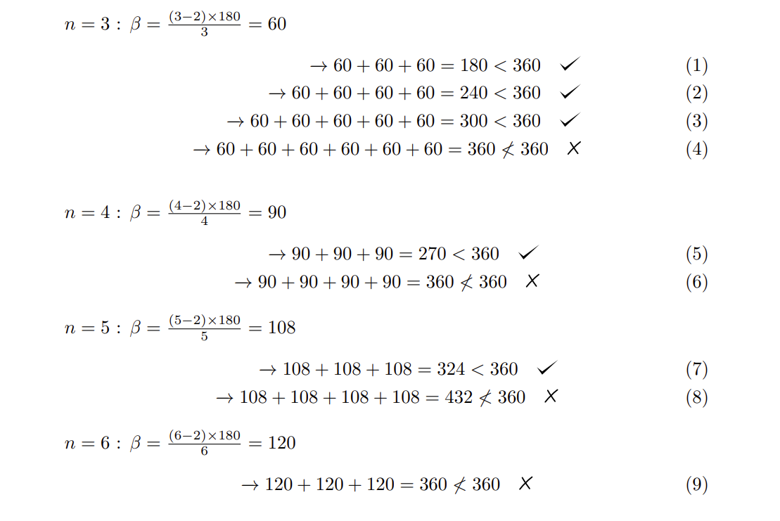
En utilisant cette formule interne on voit que l’angle interne d’un polygone à trois côtés (soit un triangle équilatéral) est de 60°, et qu’autour d’un sommet il doit nécessairement se trouver au moins trois polygones afin d’obtenir un solide (pour avoir un point dans l’espace, cela nécessite l’intersection de minimum trois plans de l’espace).
On poursuit alors le raisonnement ainsi, grâce à ces résultats :

On conclut l’existences des 5 solide platoniciens, le triangle équilatéral donne le Tétraèdre, l’Octaèdre et l’Icosaèdre pour respectivement 3,4,5 triangles autours d’un sommet, donnant respectivement le tétraèdre, l’octaèdre et l’icosaèdre. Le carré donne le cube, mais il ne peut pas y avoir de solide avec 4 carrés autour d’un point puisque cela donnerait un plan (et plus de carré dépasserait la limite de 360°), Le pentagone donne le dodécaèdre et le dernier solide de Platon, il ne peut pas y avoir ni 4 ni plus de pentagones autours d’un sommet car cela dépasserait encore la limite de 360°.
Cela ne fonctionne pas pour l’hexagone pour les mêmes raisons que pour les 4 carrés, trois hexagones forment un plan, ainsi plus d’hexagone dépasse la limite de 360°. Et tout polygone avec plus de 6 côtés possède un angle interne plus grand que l’hexagone et donc trois de ces polygones autour d’un sommet dépasse la limite de 360°. Ces 5 polyèdres sont donc les seuls solides de Platon qu’il puisse exister.

Pour la culture, Platon associait ces solides aux cinq éléments qui peuplent l’univers. Respectivement, le cube pour la Terre, le tétraèdre le Feu, l’octaèdre pour l’Air, l’Icosaèdre pour l’Eau et le dodécaèdre l’Ether. Ce type de théorie parait assez comique vue d’un œil contemporain, mais l’idée que ces solides soit lié à une raison supérieure était commune jusqu’à la renaissance. Johannes Kepler, par exemple, pensait pouvoir trouver la distance des orbites planétaires à partir d’une construction imbriquant une sphère entre chaque solide de Platon centré autour de soleil.
En bref, il n’y a rien de spécial au premier abord ni sur la construction ni sur les propriétés de ces solides, cela met cependant en lumière un trait de l’esprit humain. Il est commun d’apprécier ce que l’on comprend et ce que l’on trouve esthétique, et de là, y associé des prophéties et théories souvent sans réel fondements. On a tendance à associer les mathématiques avec la rigueur et la démonstration, mais à leurs origines les mathématiques occupaient aussi une place spirituelle au sein des connaissances humaines. Il faut prendre garde aux choses que l’on croit connaitre et maitriser, auquel cas on peut s’amener à des conclusions infondées.

Équilibre de Cournot
Pour parler un peu d’économie, puisque c’est le sujet du journal, j’aimerais alors présenter deux théories mathématiques simulant un duopole. Comme vous le verrez, ces deux visions amènent étrangement à deux conclusions bien différente (le cas discuté plus bas est tiré directement de la page Wikipédia)
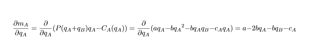
Commençons par Cournot, imaginons deux entreprises A et B qui doivent maximiser leur profit en adaptant leur production à celle de leur unique concurrent. Le prix de leur production est donc décidé sur le marché en suivant la loi de l’offre et de la demande. Afin d’être plus précis et de poser le cas d’étude il nous faut détailler quelques fonctions et on fera ensuite quelque supposition dessus, ce qui nous amènera vers une première conclusion :
- La fonction de prix/demande P : qui a une quantité de biens présent sur le marché leurs associe une valeur
- Les deux fonctions de Coût CA et CB : qui pour chaque entreprise respective prennent une quantité de biens et renvoient un prix correspondant aux dépenses nécessaires pour produire cette quantité.
- Les deux quantités qA et qB : qui correspondent aux quantités que produisent les entreprises A et B respectivement.
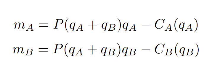
Ainsi, avec cela, on peut déjà définir les profits respectifs mA et mB de chaque entreprise, qui seront bien sûr les gains (quantité fois le prix de vente) soustraits par les coûts (quantité fois les coûts marginaux de productions) :

Mais avec des suppositions aussi larges, nous n’irons pas bien loin. Supposons maintenant que la fonction de demande soit linéaire, c’est à dire qu’elle se comporte telle une ligne droite, la pente b de cette droite représenterait à quel point l’offre influe sur le prix (qui doit être négative d’ailleurs car plus la quantité est grande sur le marché, plus le prix est bas) et son point en zéro a représenterait une sorte de demande minimale à pourvoir. Et l’on suppose que les deux fonctions de coût sont aussi linéaires, donc aussi une droite où sa pente cA ou cB représenterait l’efficacité de l’entreprise en question. Cependant on suppose que son point en zéro doit être nul, car bêtement, produire zéro devrait coûter zéro.

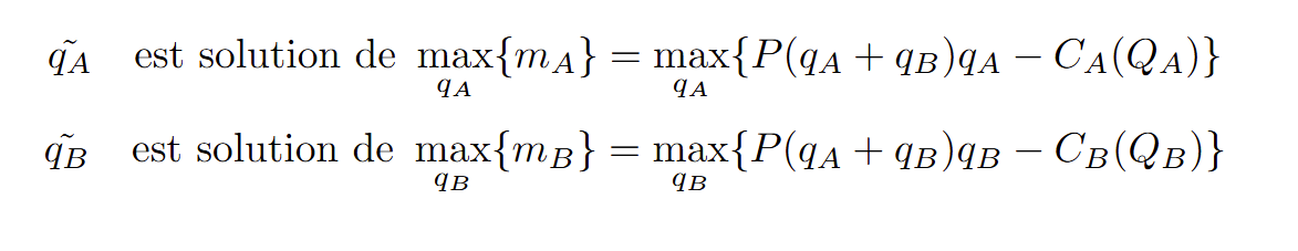
On voit alors que la résolution de notre problème se base sur un équilibre de Cournot/Nash, On veut trouver les deux qA et qB permettant de maximiser les profits des entreprises.

Le problème est désormais posé, les méthodes d’optimisation du secondaire devraient suffire à en venir à bout. On fixe alors la quantité qB et on dérive le profit de l’entreprise A. Afin de simplifier les notations, on écrit qA et qB les solutions optimales en ignorant les signes tildes.

Et ensuite, on regarde quand cette fonction dérivée s’annule, nous donnant son maximum (c’est d’ailleurs un maximum et non un minimum puisque sa dérivé d’ordre deux est négative).

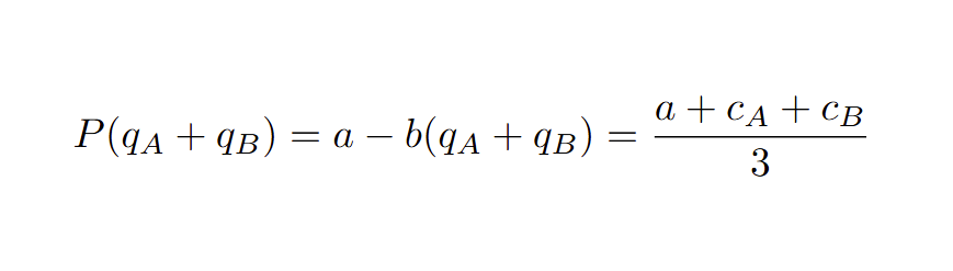
Et notons bien que on peut appliquer exactement le même raisonnement pour isoler une formule de qB à partir de qA en passant les détails on obtient :

Et donc maintenant, il suffit juste résoudre un système d’équation à deux inconnues. La méthode la plus simple serait par substitution et, en vous passant les très simples et ennuyants calculs, on obtient :

Et de cette manière, on peut apporter une conclusion assez troublante et fondamentale en micro-économie : le prix sur le marché peut être calculé à partir des deux quantités d’équilibre et il est bien au-delà du coût marginal de production de chaque entreprise respective.

On peut ainsi voir que sous ce modèle, malgré l’idée de deux entreprises se faisant concurrence pour fournir le meilleur prix à leurs clients, pour maximiser leur profit, les entreprises n’ont pas intérêts à baisser les prix en augmentant leur production.
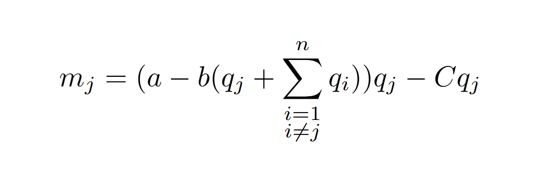
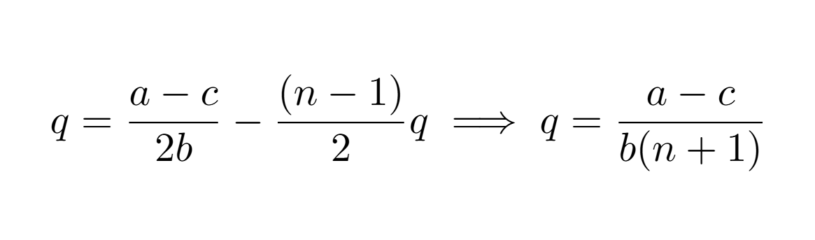
Cependant, Cournot envisageait déjà une solution, sous le même modèle mais en augmentant le nombre d’entreprise et en imaginant une situation de concurrence libre et parfaite où toutes les entreprises aurait le même coût de production. Afin de pouvoir représenter cette situation il nous faut changer nos notations, les entreprises A et B deviendront les entreprise 1 et 2 et l’on considère alors les agissements de n entreprises. Et les notations évoluent respectivement, q7 représente ainsi la quantité produite par la 7ième entreprise.
Dans l’hypothèse de la concurrence parfaite on suppose qu’elles se partagent toutes le même coût marginal que l’on notera C. Ainsi, on peut à nouveau écrire le profit supposé d’une entreprise j (il faut malheureusement faire appel à quelques formules plus complexes) :

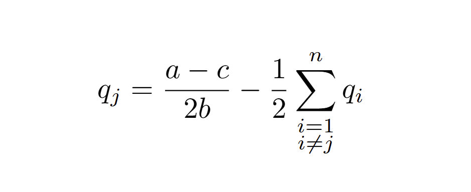
Et de la même manière que précédemment, afin de maximiser notre profit, on doit dériver par rapport à la quantité qj et ensuite résoudre l’équation, en passant les détails car c’est encore la même chose :

Et ici, puisque l’on suppose que toutes les entreprises ont le même coût marginal, elles sont toutes dans la même situation et se partagent donc toute la même quantité de production que l’on peut directement appeler q, et miraculeusement la formule précédente nous permet d’obtenir :

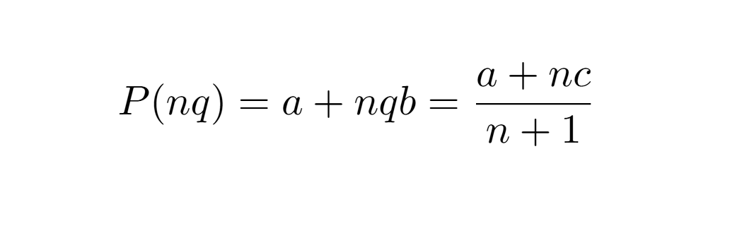
Et maintenant que l’on a la quantité produite pour tout le marché, l’on obtient aussi le prix à partir de la fonction de prix P :

Par magie on voit que plus le nombre d’entreprise n grandit, plus le coût sur le marché se rapproche du coût marginal de production commun à toutes les entreprises. Et de plus, elle ne dépend pas de la pente b de la fonction P, ainsi peu importe comment le marché réagit exactement selon l’augmentation des quantités
Plot de la fonction de prix selon le nombre d’entreprise, le coût marginal c = 3 étant la ligne rouge et la demande initiale a = 300
On peut alors en venir à apporter des conclusions sur un tel résultats ; cependant le nombre de supposition nécessaires afin de voir ce résultat émerger devrait mettre en garde n’importe quel économiste/mathématicien en herbe.
Équilibre de Bertrand
On va ensuite voir une vision similaire mais étonnamment plus simple du jeu de compétitions entre deux entreprises. Bertrand était un mathématicien économiste, mais il avait l’habitude de critiquer les modèles comme celui de Cournot, jugeant qu’il se basait sur trop de suppositions mathématiques et délaissait le bon sens.
Dans le modèle de Bertrand, les entreprises ne se fond pas concurrence sur les quantités produites mais seulement sur les prix qu’elles vont proposer à leurs clients. D’une manière simple, les biens proposés par les deux entreprises sont parfaitement interchangeable et celle qui propose le prix le plus bas récupère toute la demande.
Ainsi dans un tel contexte on comprend vite la stratégie optimale des deux entreprises, connaissant le prix du concurrent, il suffit de proposer un prix moins cher afin de récupérer tous les clients. Cependant, l’autre entreprise suivrait aussi la même stratégie et donc le seul point d’équilibre serait exactement au coût marginal de production, qui sont les même pour les deux entreprises.

Dessin représentant le Duopole de Bertrand, Point d’équilibre en N
Bien sûr, ce modèle (tout comme celui de Cournot) ne tient pas dans la vraie vie : le coût marginal de production est intimement lié au prix que l’entreprise est en capacité de fixer, et parfois, moins produire peu aussi mener à un meilleur prix. De plus, rien ne garantit qu’une entreprise à elle seule serait capable de fournir toute la demande d’un marché. Pour aller plus loin sur ce sujet cependant je vous laisse en source un papier scientifique publié par David M. Kreps et Jose A. Scheinkman qui essaie d’ajouter un principe de quantité produite par une entreprise au modèle de Bertrand.
Adrien Mocaer
Sources et références :
Johannes Kepler et les solide de Platons
Solide de Platon, un des meilleur article Wikipédia que j’ai vus
Wikipédia du duopole de Cournot
Relique trouvée quelque part sur Internet, présente très bien Bertrand
Le papier de Kreps et Scheinkman assez avancé




